Адрес главного офиса:
03680, Украина , м.Киев, ул.Петра Нестерова 3, оф.907
тел/факс: +38 (044) 456-21-42, 456-38-59, 456-22-75
    Главная   Услуги   Новости   Продукция   Комплексные решения   Поддержка   О компании   Контакты   РАСПРОДАЖА

 
  Навигация сайта

Главная страница


Обратная связь
  География внедрения

Годовой отчет ООО "Котрис"
  Календарь
«    Декабрь 2025    »
ПнВтСрЧтПтСбВс
1
2
3
4
5
6
7
8
9
10
11
12
13
14
15
16
17
18
19
20
21
22
23
24
25
26
27
28
29
30
31
 

  Панель управления
Логин
Пароль
 
ДВУХПРОВОДНЫЕ ПРЕОБРАЗОВАТЕЛИ ПРОКСИМЕТРОВ METRIX TXR (РАДИАЛЬНОЕ ВИБРОСМЕЩЕНИЕ) и METRIX TXA (ОСЕВОЙ СДВИГ)
ДВУХПРОВОДНЫЕ ПРЕОБРАЗОВАТЕЛИ ПРОКСИМЕТРОВ METRIX TXR (РАДИАЛЬНОЕ ВИБРОСМЕЩЕНИЕ) и METRIX TXA (ОСЕВОЙ СДВИГ)        Модель Metrix TXR (радиальное вибросмещение)
        Модель Metrix TXA (осевой сдвиг)

        Назначение

        Двухпроводные преобразователи проксиметров, объединяющие драйвер и формирователь сигнала служат для измерения вибросмещения и осевого сдвига валов подшипников скольжения.

        Описание

        Эти новые преобразователи объединяют драйвер вихретокового датчика и формирователь сигнала в одном корпусе. Они обеспечивают идеальное решение для измерения вибросмещений и осевых сдвигов вала и передачи сигнала 4…20мА непосредственно на индикатор, аналоговую или цифровую систему контроля или систему управления. Эти устройства взаимодействуют с вихретоковыми датчиками и удлинительными кабелями Метрикс или подобными других производителей. Не требуется отдельного драйвера. Тестовые разъемы дают доступ к широкополосному сигналу, содержащему постоянную составляющую для выставления рабочего зазора и переменную составляющую для спектрального анализа вибраций. Двухпроводная токовая петля для питания и выходного сигнала сокращает количество необходимых проводов; так как сигналом является постоянный ток, то не требуется экранирования проводов.

        Функции

           формирование выходного сигнала 4…20 мА пропорционального истинному (пик - пик) значению вибросмещения или осевого сдвига вала.

        Особенности

           идеален для прямого подключения к промышленным контроллерам и распределенным системам управления и контроля;
           двухпроводное подключение уменьшает количество проводов;
           совместимы с большинством известных датчиков;
           экономичная альтернатива системам контроля в стоечном исполнении.

        Области применения

        Вибропреобразователи Metrix TXA и Metrix TXR применяются для контроля состояния технологического оборудования в любых отраслях промышленности, в том числе в составе информационно-измерительных систем контроля состояния разнообразного технологического оборудования:
           турбокомпрессоров;
           насосов;
           вентиляторов;
           паровых турбин;
           гидротурбин.

        Технические характеристики

Стандартный датчик:
TXR, TXA - серии 10000, 7200, 3300, RAM, 3000.
Стандартный калибровочный материал:
        сталь AISI 4140.
Диапазон измерения: см. табл.
Рабочий зазор (обеспечивающий линейность характеристики):
        TXR: 0…75 мкм рк- рк; 0…125 мкм рк- рк; 0…250 мкм рк- рк;
        TXA: 0,5…2 мм; 0,5…4 мм (датчик 11 мм).
Признак отказа датчика:
        выходной ток менее 3.6 мА, если датчик или удлинительный кабель в обрыве или зазор между датчиком и валом вне рабочего диапазона.
Полоса частот:
        TXR - 5…5000 Гц;
        TXA - 0…20 Гц.

Тестовый выход:
        TXR, TXA - 8мв/мкм; 4 мв/мкм (датчик 11 мм).
Питающее напряжение:
        TXR, TXA - от 17 до 30 В пост. тока.
Максимальное сопротивление нагрузки: TXR, TXA - 50 (Uпит.-17B) Ом.
Диапазон температур: - 400С - +850С.
Взрывобезопасное исполнение: Маркировка взрывозащиты OEiallCT4X или 2ExicllCT4X

        Схема подключения
ДВУХПРОВОДНЫЕ ПРЕОБРАЗОВАТЕЛИ ПРОКСИМЕТРОВ METRIX TXR (РАДИАЛЬНОЕ ВИБРОСМЕЩЕНИЕ) и METRIX TXA (ОСЕВОЙ СДВИГ)


        Размеры
ДВУХПРОВОДНЫЕ ПРЕОБРАЗОВАТЕЛИ ПРОКСИМЕТРОВ METRIX TXR (РАДИАЛЬНОЕ ВИБРОСМЕЩЕНИЕ) и METRIX TXA (ОСЕВОЙ СДВИГ)


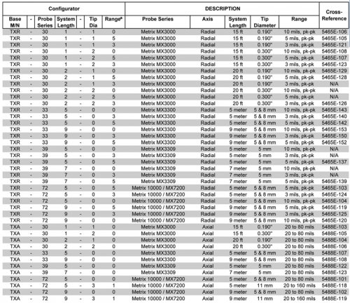
        Порядок заказа
ДВУХПРОВОДНЫЕ ПРЕОБРАЗОВАТЕЛИ ПРОКСИМЕТРОВ METRIX TXR (РАДИАЛЬНОЕ ВИБРОСМЕЩЕНИЕ) и METRIX TXA (ОСЕВОЙ СДВИГ)


        Замена моделей 5465/5488 на TXR/TXA

ДВУХПРОВОДНЫЕ ПРЕОБРАЗОВАТЕЛИ ПРОКСИМЕТРОВ METRIX TXR (РАДИАЛЬНОЕ ВИБРОСМЕЩЕНИЕ) и METRIX TXA (ОСЕВОЙ СДВИГ)
ДВУХПРОВОДНЫЕ ПРЕОБРАЗОВАТЕЛИ ПРОКСИМЕТРОВ METRIX TXR (РАДИАЛЬНОЕ ВИБРОСМЕЩЕНИЕ) и METRIX TXA (ОСЕВОЙ СДВИГ)


Внимание! У вас нет прав для просмотра скрытого текста.


    Категория: Продукция » Виброизмерительная аппаратура » Преобразователи проксиметров Metrix TXR и TXA  
  Актуальные новости

     
  Погода в Киеве

© 2008-2017 Kotris LTD